by Dr. Jason Hartwig, NASA Glenn Research Center, jason.w.hartwig@nasa.gov
An investigation into popular thermal/fluid design codes begun as an exercise in curiosity by engineers at NASA Glenn Research Center and the University of Florida has uncovered an interesting flaw in modern cryogenic two-phase flow modeling.
Two-phase flow is routinely incurred when working with cryogenic transfer systems due to the low normal boiling point of all cryogens relative to ambient conditions. In ground-based systems, engineers budget extra propellant to ensure reliable chilldown and eventual transfer of vapor-free liquid. For example, when launch teams chill down transfer line hardware between a storage tank and a customer vehicle on the launchpad some propellant is sacrificed to remove the stored thermal energy in the transfer line via latent and sensible energy of the fluid, while combating parasitic heat leak from the environment.
However, in microgravity fluid transfer (such as between a depot storage tank and customer spacecraft), where the projected cost to store cryogenic propellants in low Earth orbit is high, engineers require accurate analytical tools to model two-phase flow and minimize propellant consumption. The penalty for poor models is higher margin (need to launch and store extra propellant), higher safety factor (heavier, thicker insulation) and ultimately a reduced capacity to deliver payload. Both NASA and industry thus rely heavily on lumped node codes such as SINDA/FLUINT to model two-phase flow. SINDA/FLUINT is the space agency’s standard software for thermohydraulic analysis, combining the Systems Improved Numerical Differencing Analyzer with a Fluid Integrator. It can model single-phase gases and liquids, two-phase fluids and mixtures of substances.
To gather chilldown HTCs, engineers at Glenn Research Center performed a series of carefully controlled and instrumented liquid hydrogen (LH2) transfer line chilldown tests [3]. These tests were complemented by a University of Florida research team that conducted a large parametric chilldown test series using liquid nitrogen (LN2), varying flow angle, mass flux, level of subcooling and inlet pressure [4, 5]. In all, the researchers collected over 200,000 data points across the flow boiling regimes of film, transition and nucleate boiling.
First, researchers extracted experimental HTCs from the tests [3-5] and separated the data by flow boiling regime. Then, the two-phase correlations [6-10] were extracted and used to predict a corresponding HTC given temperature, pressure, quality, etc., for each data point.
Parity plots in Figures 1a and b respectively provide a comparison of the results for LN2 and LH2 chilldown HTCs. The relative mean absolute error (MAE) values for each boiling regime are listed, where
For nitrogen, the film boiling correlations modestly underpredict the film boiling data, the transition boiling correlation moderately overpredicts transition boiling data and the Chen correlation significantly overpredicts the nucleate boiling data. While disparity between LN2 data and correlation is a cause for concern, the results for LH2 are somewhat alarming. Figure 1b shows that the Chen correlation overpredicts the LH2 nucleate boiling data by as much as a factor of 200! This means that, based on using this correlation, a flight propellant transfer system would have been significantly oversized to accommodate boiloff losses during chilldown.
The next obvious question that arises is why are there such large discrepancies observed between cryogenic chilldown data and the most popular two-phase correlations? Hartwig et al. [3] recently assessed many of these correlations, including the existing universal correlations, against the LN2 and LH2 chilldown data and found two common trends among available models.
First, most existing correlations are based on room temperature fluids, such as water or refrigerants. As we all know, cryogens exhibit quite drastic differences in thermodynamic properties relative to water, such as low liquid/vapor density ratios, surface tension and heat of vaporization. Correlations fit to water simply do not cover the same dimensionless number space as cryogens.
And second, most existing correlations are based on the heating configuration, or “heated tube” tests.
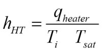
In two-phase modeling, there are two ways to gather experimental HTCs, a heating (heated tube) and a quenching (chilldown) configuration. In the heating configuration, the pipe wall and fluid start at the same temperature and a controlled external heat is input into the fluid. The electrical heat input is typically 1-2 orders of magnitude higher than the sum of parasitic radiation qrad and gas conduction qcond such that they can be ignored. The heated tube HTC is simply:
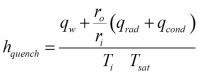
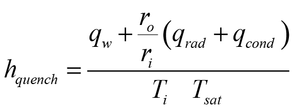
where Ti is the inner wall temperature and Tsat is the fluid saturation temperature. Meanwhile, in a quenching configuration, the HTC is:
where qw is the transient wall conduction term. Here, determination of a HTC depends on precise knowledge of parasitics, which depends on knowledge of many factors such as pipe radius, metal type, each and every view factor, emissivity, surface area and temperature of each primary radiating surface, and background gas type, temperature and pressure. This could explain why the bulk of the historical cryogenic two-phase flow data was taken in the heating configuration and not the quenching configuration, and why there are no reliable cryogenic quenching correlations.
The reason for the disparity lies in consideration of the thermal mass of the system. For more massive systems, or slower chilldown rates and slower temperature changes, a quench test approaches a steady state test; the transient quench boiling process approaches the quasi-steady state heated tube configuration. Shorter length tubes or less massive systems have lower thermal mass and thus higher transient boiling and shorter chilldown times. As a result, the HTC will not be the same for the two. This finding is backed by pool boiling studies that have shown that the magnitude and shape of the boiling curve is different for heating versus quenching [11, 12]. As the size or mass of the system increases, however, the quench boiling curve shifts both to the left and upward, approaching the quasi-static steady-state heated tube boiling curve.
So what is a cryogenic fluid system designer to do, given the state of the art and the unreliable two-phase modeling correlations? Researchers at Glenn Research Center, Marshall Space Flight Center and the University of Florida are currently developing the pioneering set of two-phase cryogenic quenching correlations based on in-house testing mentioned previously, as well the results of an exhaustive mining of the historical literature. This question was also addressed during a talk given at the 2017 Space Cryogenics Workshop in Oak Brook IL. Thus far, 61 potential references have been cited with cryogenic quenching data, of which 52 were deemed unusable based on a stringent criteria outlined in the talk. The results of consolidating the historical database, statistical analysis and development of the new set of chilldown correlations are forthcoming in an upcoming publication. Stay tuned!
References
[1] Kim, S., and Mudawar, I. “Universal Approach to Predicting Heat Transfer Coefficient for Condensing Mini/Micro-Channel Flow,” International Journal of Heat and Mass Transfer 56, 238 – 250, 2013.
[2] Kim, S. and Mudawar, I. “Universal Approach to Predicting Two-Phase Frictional Pressure Drop for Adiabatic and Condensing Mini/Micro-Channel Flows,” International Journal of Heat and Mass Transfer 55, 3246 – 3261, 2012.
[3] Hartwig, J.W., Asensio, A., and Darr, S.R. “Assessment of Existing Two Phase Heat Transfer Coefficient and Critical Heat Flux Correlations for Cryogenic Flow Boiling in Pipe Quenching Experiments,” International Journal of Heat and Mass Transfer 93, 441 – 463, 2016.
[4] Darr, S.R., Hu. H., Glikin, N., Hartwig, J.W., Majumdar, A., Leclair, A., and Chung, J. “An Experimental Study on Terrestrial Cryogenic Tube Chilldown. I. Effect of Mass Flux, Equilibrium Quality, and Inlet Subcooling,” International Journal of Heat and Mass Transfer 103, 1225 – 1242, 2016a.
[5] Darr, S.R., Hu. H., Glikin, N., Hartwig, J.W., Majumdar, A., Leclair, A., and Chung, J. “An Experimental Study on Terrestrial Cryogenic Tube Chilldown. II. Effect of Flow Direction with Respect to Gravity,” International Journal of Heat and Mass Transfer 103, 1243 – 1260, 2016b.
[6] Groeneveld, D.C. and Delorme, G.G.J. “Prediction of Thermal Non-equilibrium in the Post-Dryout Regime,” Nuclear Engineering and Design 36, 17 – 26, 1976.
[7] Groeneveld, D.C. “A Review of Inverted Annular and Low Quality Film Boiling,” Multiphase Science and Technology 7, 327 – 365, 1993.
[8] Rohsenow, W., Hartnett, J., and Cho, Y. “Handbook of Heat Transfer” 3rd Edition, McGraw-Hill: New York, NY, 1998.
[9] Bromley, L.A., LeRoy, N.R., and Robbers, J.A. “Heat Transfer in Forced Convection Film Boiling,” Industrial and Engineering Chemistry 45, 2639 – 2646, 1953.
[10] Chen, Y. “Heat Transfer in Film Boiling of Flowing Water, Chapter 9 – Heat Transfer – Theoretical Analysis, Experiment Investigations and Industrial Systems,” Proceedings of InTech, January 2011.
[11] Bergles, A.E. and Thompson, W.G. “The Relationship of Quench Data to Steady-State Pool Boiling Data,” International Journal of Heat and Mass Transfer 13, 55-68. 1970.
[12] Peyayopanakul, W. and Westwater, J.W. “Evaluation of the Unsteady-State Quenching Method for Determining Boiling Curves,” International Journal of Heat and Mass Transfer 21, 1473 – 1445, 1978. ■








